近日,91直播
91直播
李利平博士在相干隧穿破坏理论研究方面取得重要进展,相关成果以“Broadened coherent destruction of tunneling”为题,发表在国际主流期刊Physical Review A上(论文链接: doi.org/10.1103/PhysRevA.111.023105)。91直播
李利平博士为论文的第一作者和唯一通讯作者,91直播
为该论文的唯一通讯单位。
相干隧穿破坏(CDT: Coherent Destruction of Tunneling)是量子光学的基础,在量子态控制、量子传感以及量子通信等领域有着广泛应用。通过引入周期性的外部驱动场,实现Floquet量子系统中周期驱动诱导非平衡物态的观测与模拟,从而揭示大量新奇的量子现象及其物理机制。在前期的工作中,李利平博士等提出了损耗诱导局域、宇称诱导局域以及混沌相关局域等重要量子现象,得到了领域内的广泛认可。
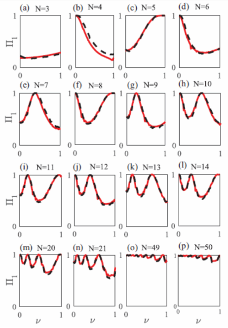
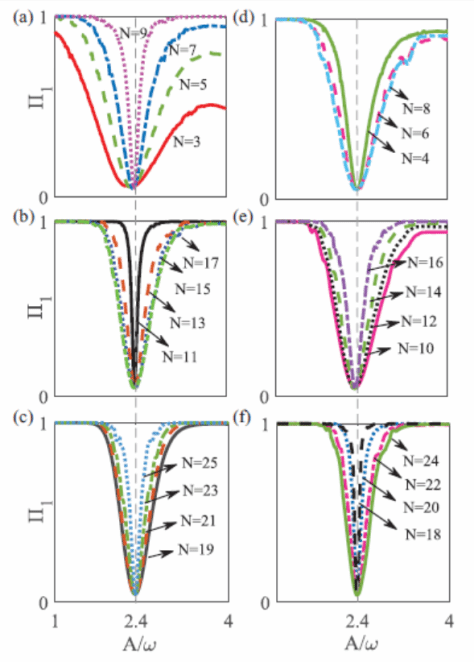
本研究聚焦基本的量子隧穿动力学演化规律和量子态相干操控策略,发展了一套新的解析和数值计算方法,准确揭示了二阶耦合强度在提高和抑制量子隧穿概率中的双重性。通过采用合适的周期驱动方式,将相干隧穿抑制的参数范围扩展到宽窄不等的区域,这不同于传统的相干隧穿破坏现象。李利平研究组将该现象叫做展宽的相干隧穿破坏(Broadened CDT),并进一步提出这个新现象与量子系统准能级的反交叉简并和局域的Floquet态之间的内在关联。该工作为基于量子系统二阶耦合以及系统自身的拓扑结构、几何大小和奇偶性等实现量子态的相干控制提供了理论基础。
该工作得到了国家自然科学基金委以及91直播
学科实力提升计划项目的支持。
图1 Zig-zag结构的周期驱动量子系统及二阶耦合强度对隧穿动力学的影响。

图2 量子系统格点的数量及其奇偶性对隧穿概率的显著影响。